Încheiere parteneriat de practică cu ONEDIN SRL

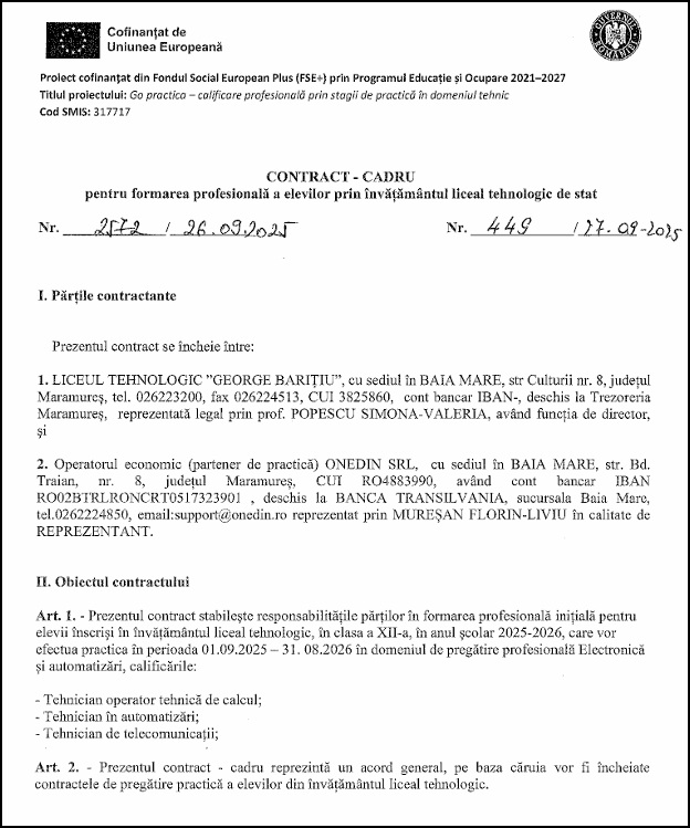
În data de 26 septembrie 2025, Liceul Tehnologic „George Barițiu” Baia Mare a semnat contractul-cadru de parteneriat pentru practică cu ONEDIN SRL, în cadrul proiectului GO PRACTICA – calificare profesională pentru viitor.

Contractul stabilește colaborarea pentru anul școlar 2025–2026, în domeniul de pregătire profesională Electronică și automatizări, pentru calificările:

  • Tehnician operator tehnică de calcul

  • Tehnician în automatizări

  • Tehnician de telecomunicații

Prin acest acord, elevii claselor a XII-a vor desfășura stagii de practică într-un mediu economic real, beneficiind de coordonare din partea tutorilor desemnați de operatorul economic și de monitorizarea cadrelor didactice din unitatea de învățământ.

ONEDIN SRL este un centru autorizat de service pentru electrocasnice mari și mici, activ pe piața din Baia Mare încă din 1993, colaborând cu producători și distribuitori de renume. Compania oferă servicii de diagnosticare, reparații și mentenanță, având o echipă de tehnicieni calificați și experiență solidă în domeniul tehnic.

Parteneriatul contribuie la:

  • dezvoltarea competențelor profesionale ale elevilor;

  • familiarizarea cu cerințele reale ale pieței muncii;

  • creșterea gradului de inserție profesională după absolvire.

Semnarea acestui contract consolidează rețeaua de parteneriate a proiectului GO PRACTICA și sprijină obiectivul principal al proiectului: formarea profesională relevantă și conectată la mediul economic local.